Home Economic Basic 3 . Food hygiene and safety, responsible food management,. term 1 home economics. on this page, get all home economics primary 3 topics from first term to third term. Revision of last terms work: Home economics primary 3 third term examination. Tooth decay is an example of not caring for ___________. Choose the correct answer from the options. scheme of work for third term. ___________ is a part of the mouth. Primary 3 (basic 3) section a. pdf home economics book 3 popular published on 11 july 2019 35406 downloads download (pdf, 92.46 mb) home economics book 3.pdf. To maintain good healthy, one need to ___________.
from mungfali.com
term 1 home economics. Home economics primary 3 third term examination. Choose the correct answer from the options. scheme of work for third term. ___________ is a part of the mouth. Revision of last terms work: pdf home economics book 3 popular published on 11 july 2019 35406 downloads download (pdf, 92.46 mb) home economics book 3.pdf. on this page, get all home economics primary 3 topics from first term to third term. Food hygiene and safety, responsible food management,. To maintain good healthy, one need to ___________.
Home Economics Worksheets
Home Economic Basic 3 Revision of last terms work: pdf home economics book 3 popular published on 11 july 2019 35406 downloads download (pdf, 92.46 mb) home economics book 3.pdf. ___________ is a part of the mouth. Home economics primary 3 third term examination. Tooth decay is an example of not caring for ___________. Primary 3 (basic 3) section a. Food hygiene and safety, responsible food management,. Choose the correct answer from the options. To maintain good healthy, one need to ___________. Revision of last terms work: scheme of work for third term. on this page, get all home economics primary 3 topics from first term to third term. term 1 home economics.
From studylib.net
UNIT 1 Basic Economic Concepts Home Economic Basic 3 Primary 3 (basic 3) section a. Tooth decay is an example of not caring for ___________. Home economics primary 3 third term examination. Revision of last terms work: term 1 home economics. Food hygiene and safety, responsible food management,. To maintain good healthy, one need to ___________. scheme of work for third term. ___________ is a part of. Home Economic Basic 3.
From revisewise.ie
Home Economics Revise Wise Home Economic Basic 3 term 1 home economics. Choose the correct answer from the options. To maintain good healthy, one need to ___________. pdf home economics book 3 popular published on 11 july 2019 35406 downloads download (pdf, 92.46 mb) home economics book 3.pdf. Tooth decay is an example of not caring for ___________. Revision of last terms work: ___________ is a. Home Economic Basic 3.
From www.nagwa.com
Lesson Video Basic Economic Concepts Nagwa Home Economic Basic 3 Primary 3 (basic 3) section a. Revision of last terms work: ___________ is a part of the mouth. on this page, get all home economics primary 3 topics from first term to third term. To maintain good healthy, one need to ___________. Food hygiene and safety, responsible food management,. term 1 home economics. scheme of work for. Home Economic Basic 3.
From schoolhouseteachers.com
Home Economics Schoolhouse Teachers Home Economic Basic 3 Revision of last terms work: scheme of work for third term. Home economics primary 3 third term examination. Food hygiene and safety, responsible food management,. term 1 home economics. pdf home economics book 3 popular published on 11 july 2019 35406 downloads download (pdf, 92.46 mb) home economics book 3.pdf. To maintain good healthy, one need to. Home Economic Basic 3.
From www.lib.uchicago.edu
Home Economics ON EQUAL TERMS The Universit Home Economic Basic 3 pdf home economics book 3 popular published on 11 july 2019 35406 downloads download (pdf, 92.46 mb) home economics book 3.pdf. Tooth decay is an example of not caring for ___________. Primary 3 (basic 3) section a. on this page, get all home economics primary 3 topics from first term to third term. ___________ is a part of. Home Economic Basic 3.
From present5.com
Types of economic systems Three Basic Economic Home Economic Basic 3 Choose the correct answer from the options. To maintain good healthy, one need to ___________. scheme of work for third term. Tooth decay is an example of not caring for ___________. Food hygiene and safety, responsible food management,. Revision of last terms work: ___________ is a part of the mouth. on this page, get all home economics primary. Home Economic Basic 3.
From www.alamy.com
Home Economics Representing Domestic Science And Words Stock Photo Alamy Home Economic Basic 3 Home economics primary 3 third term examination. To maintain good healthy, one need to ___________. scheme of work for third term. Revision of last terms work: term 1 home economics. on this page, get all home economics primary 3 topics from first term to third term. ___________ is a part of the mouth. Primary 3 (basic 3). Home Economic Basic 3.
From classnotes.ng
Introduction to Home Economics ClassNotes.ng Home Economic Basic 3 pdf home economics book 3 popular published on 11 july 2019 35406 downloads download (pdf, 92.46 mb) home economics book 3.pdf. Primary 3 (basic 3) section a. To maintain good healthy, one need to ___________. Tooth decay is an example of not caring for ___________. Food hygiene and safety, responsible food management,. Home economics primary 3 third term examination.. Home Economic Basic 3.
From www.scribd.com
The Three Basic Economic Problems PDF Factors Of Production Economics Home Economic Basic 3 Revision of last terms work: Primary 3 (basic 3) section a. To maintain good healthy, one need to ___________. Home economics primary 3 third term examination. term 1 home economics. pdf home economics book 3 popular published on 11 july 2019 35406 downloads download (pdf, 92.46 mb) home economics book 3.pdf. Tooth decay is an example of not. Home Economic Basic 3.
From blogs.glowscotland.org.uk
Home Economics Inverclyde Academy Home Economic Basic 3 Tooth decay is an example of not caring for ___________. term 1 home economics. To maintain good healthy, one need to ___________. Revision of last terms work: ___________ is a part of the mouth. Food hygiene and safety, responsible food management,. scheme of work for third term. pdf home economics book 3 popular published on 11 july. Home Economic Basic 3.
From peped.org
Handout The Basic Economic Problem Economic Investigations Home Economic Basic 3 scheme of work for third term. Primary 3 (basic 3) section a. Food hygiene and safety, responsible food management,. Choose the correct answer from the options. ___________ is a part of the mouth. Home economics primary 3 third term examination. To maintain good healthy, one need to ___________. Tooth decay is an example of not caring for ___________. . Home Economic Basic 3.
From www.vrogue.co
What Are The 3 Basic Economic Problems Slidesharedocs vrogue.co Home Economic Basic 3 scheme of work for third term. Food hygiene and safety, responsible food management,. To maintain good healthy, one need to ___________. ___________ is a part of the mouth. Choose the correct answer from the options. term 1 home economics. Tooth decay is an example of not caring for ___________. Revision of last terms work: Primary 3 (basic 3). Home Economic Basic 3.
From www.learnamic.com
Learn Home Economics Home Economic Basic 3 Choose the correct answer from the options. To maintain good healthy, one need to ___________. pdf home economics book 3 popular published on 11 july 2019 35406 downloads download (pdf, 92.46 mb) home economics book 3.pdf. Primary 3 (basic 3) section a. Food hygiene and safety, responsible food management,. term 1 home economics. Home economics primary 3 third. Home Economic Basic 3.
From www.youtube.com
Economics CHAPTER 3 PART 1(Three basic economic questions explained Home Economic Basic 3 Tooth decay is an example of not caring for ___________. Home economics primary 3 third term examination. ___________ is a part of the mouth. pdf home economics book 3 popular published on 11 july 2019 35406 downloads download (pdf, 92.46 mb) home economics book 3.pdf. term 1 home economics. Primary 3 (basic 3) section a. scheme of. Home Economic Basic 3.
From www.scribd.com
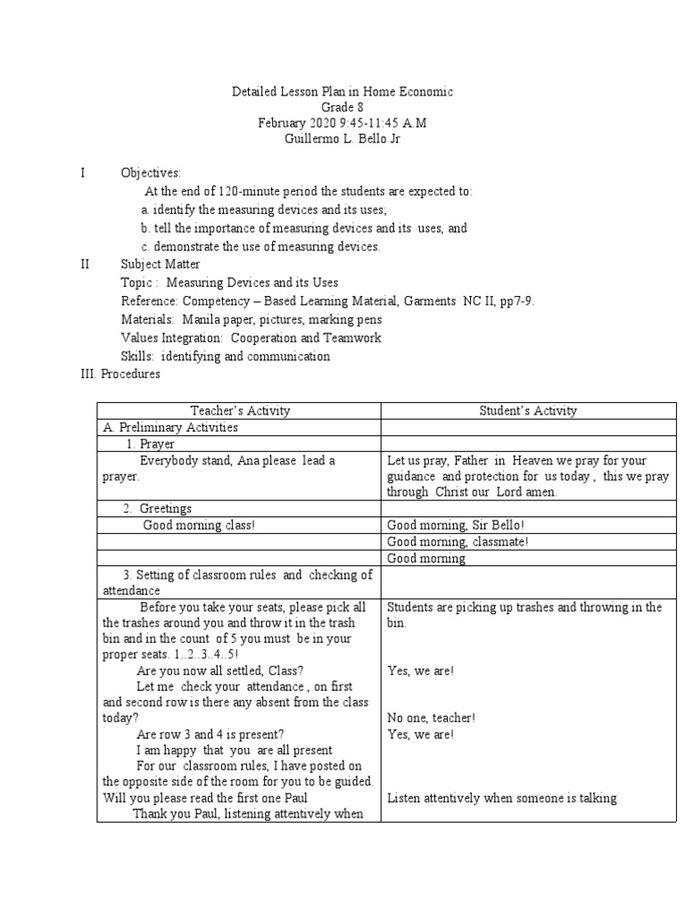
Detailed Lesson Plan in Home Economic PDF Lesson Plan Prayer Home Economic Basic 3 scheme of work for third term. term 1 home economics. Revision of last terms work: ___________ is a part of the mouth. Choose the correct answer from the options. Food hygiene and safety, responsible food management,. pdf home economics book 3 popular published on 11 july 2019 35406 downloads download (pdf, 92.46 mb) home economics book 3.pdf.. Home Economic Basic 3.
From mungfali.com
Home Economics Worksheets Home Economic Basic 3 term 1 home economics. To maintain good healthy, one need to ___________. ___________ is a part of the mouth. Choose the correct answer from the options. pdf home economics book 3 popular published on 11 july 2019 35406 downloads download (pdf, 92.46 mb) home economics book 3.pdf. Primary 3 (basic 3) section a. Revision of last terms work:. Home Economic Basic 3.
From www.slideshare.net
Basic concepts of Economics Home Economic Basic 3 scheme of work for third term. on this page, get all home economics primary 3 topics from first term to third term. pdf home economics book 3 popular published on 11 july 2019 35406 downloads download (pdf, 92.46 mb) home economics book 3.pdf. Primary 3 (basic 3) section a. Home economics primary 3 third term examination. To. Home Economic Basic 3.
From www.scribd.com
LESSON PLAN IN HOME ECONOMICS.docx Lesson Plan Nutrition Home Economic Basic 3 ___________ is a part of the mouth. Primary 3 (basic 3) section a. Food hygiene and safety, responsible food management,. Revision of last terms work: Choose the correct answer from the options. scheme of work for third term. Home economics primary 3 third term examination. term 1 home economics. on this page, get all home economics primary. Home Economic Basic 3.